根据《2017-2018学年第二学期本科生单项奖学金评选工作通知》(校学〔2018〕205号)、《草莓视频
草莓视频
单项奖学金评选实施办法(试行)》及《草莓视频
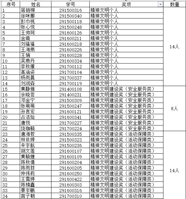
精神文明建设奖宿舍文明类评选实施办法(试行)》,经学生本人自愿申请、年级审核、学院讨论研究,拟推荐蒋销柳(291500316)等68人为草莓视频
2017-2018年第二学期单项奖学金拟推荐名单,并上报学校。现将具体名单予以公示,公示期3天(2018年6月29日至2018年7月1日)。公示期内,如有异议,请联系学工组王老师,联系电话:0591-22866571。


草莓视频
2018年6月29日